C207 低聚半乳糖
一、化学结构与理化性质
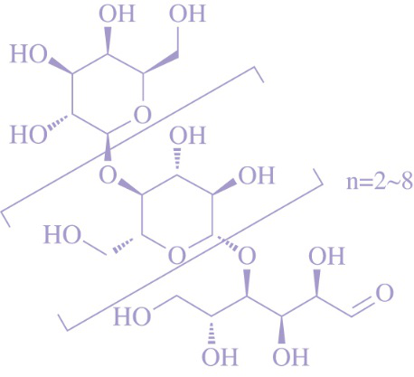
低聚半乳糖(galactooligosaccharides,GOS)是一组具有天然属性的功能性低聚糖,其分子结构是在半乳糖或葡萄糖分子上连接1~7个半乳糖基,即Gal-(Gal)n-Glc/Gal(n为0~6)。其分子式为(C6H11O5)n,n为2~8,分子量为300~2 000。

低聚半乳糖的化学结构
低聚半乳糖无色,不带电荷[1],对酸和热都很稳定,在180℃或pH 3.0条件下不分解[2]。具有低分子量水溶性膳食纤维的特点,黏度低,水溶性好,不结合矿物质。
口感清爽,热值较低,甜度为蔗糖的20%~40%。
二、主要来源与生产制备方法
主要来源 自然界中低聚半乳糖含量少,主要来源于牛乳。
生产制备方法 低聚半乳糖的生产制备方法主要有从天然原料提取、天然多糖的酶水解、天然多糖的酸水解、化学合成、酶法合成等。天然多糖转化产品得率低,产物复杂,不宜得到纯品。化学法步骤繁琐,得率不高。酶法合成主要是以乳糖或乳清为原料,由乳糖酶催化作用生成低聚半乳糖。
以牛乳乳糖为原料生产工艺是首先经β-半乳糖苷酶催化水解半乳糖苷键,生成半乳糖和葡萄糖,并通过转半乳糖苷的作用,将水解下来的半乳糖苷转移到乳糖分子,生成低聚半乳糖[3]。低聚半乳糖含量(半乳低聚二糖~半乳低聚八糖)一般超过57%。
三、分析方法
GB GB22224-2008 食品中膳食纤维的测定 酶重量法-液相色谱法。
AOAC AOAC 45.4.12/AOAC official method 2001.02高效阴离子交换色谱检测-液相色谱。
其他 高效液相色谱法,高效离子色谱法。
四、生理功能及作用
调节肠道菌群平衡 人体试验表明,摄入低聚半乳糖可促进双歧杆菌的增殖,抑制有害细菌的生长,从而改善肠道微生态平衡。低聚半乳糖作为双歧杆菌的发酵底物产生短链脂肪酸和一些抗生素物质,能极为有效地抑制志贺氏杆菌、沙门氏菌、金黄色葡萄球菌、大肠杆菌和其他一些有害微生物的生长[4]。另外,双歧杆菌发酵低聚糖产生的大量短链脂肪酸能刺激肠道蠕动,增加粪便湿度,并保持一定的渗透压,从而防止便秘的发生。
低热量,消化慢 人体肠胃内没有水解低聚半乳糖的酶系统,不被消化吸收而直接进入大肠,可缓解升高血糖并缓解便秘现象。其能量低,每克低聚半乳糖含热量小于膳食纤维平均数值8kJ。
抗龋齿 体外试验表明,突变链球菌(Strepto-coccus mutans)等口腔细菌不能利用低聚半乳糖生成荚膜物质——不溶性葡聚糖,也不产生乳酸,因此细菌就无荚膜,不能黏附于牙齿产酸,可降低龋齿发生率。
其他 适量地摄入低聚半乳糖可减少有毒代谢物的产生,减轻肝脏分解毒素的负担。此外,试验表明[6],低聚半乳糖的摄入可有效促进肠道对钙和镁的吸收,同时可预防骨质减少。
低聚半乳糖可有效改善小肠微生态平衡,降低血清胆固醇的浓度,提高血清中高密度脂蛋白所占比例。
五、安全性研究
人群资料 对健康成人进行的近17个研究,未发现摄入低聚半乳糖对人体产生任何毒副作用。Lidestri等对几千名婴幼儿进行的试验发现,摄入低聚半乳糖9g/L或低聚半乳糖:低聚果糖=9:1,持续28天,未发现对婴幼儿产生任何毒副作用[7]。
代谢情况 大量人体和动物试验表明,GOS不被人的唾液淀粉酶、猪的胰腺5-α淀粉酶和人造胃液所水解,因此GOS不能被消化吸收。当婴幼儿摄入GOS达8g/L或5g/kg时,在其粪便中可检测到GOS的原形。
急性毒性 有文献报道,大鼠LD50≥15g/kg[8]。
遗传毒性 对鼠伤寒沙门氏菌TA98、TA100、TA1535和TA1537进行的诱变试验,浓度分别设置为每板312.5μg、625μg、1 250μg、2 500μg和5 000μg,检测结果均为阴性。由此可得出,低聚半乳糖没有遗传毒性。
亚慢性毒性 对SD大鼠灌胃给予2 500mg/kg、5000mg/kg,持续90天,未观察到有毒副作用9。作者认为在90天连续喂养试验的最高剂量NOAEL为每日5000mg/kg。另一试验中,对SD大鼠灌胃给予500mg/kg、1000mg/kg、2000mg/kg的剂量,进行为期90天的试验,未发现有毒副作用,高剂量组盲肠重量增加[10]。用6只狗和4只猫进行30天的试验,采用自由摄食的方法,得出NOAEL为10000mg/kg。
慢性毒性与致癌性 未查见相关文献资料。
生殖与发育毒性 未查见相关文献资料。
其他 未查见相关文献资料。
六、常见使用方法与调查/推荐摄入量
1、常见使用方法
(1)食品
○ 焙烤食品:由于低聚半乳糖对热和酸的稳定性高,高温加工过程中,营养成分不会损失,因此可用于焙烤食品加工中,增强食品风味。
○ 乳品:成年人体内由于乳糖酶的缺乏,对牛奶等乳制品产生了乳糖不适应现象。为了解决此种问题,乳品加工过程中可加入适量的低聚半乳糖。如婴儿配方乳粉、中老年奶粉等。
○ 糖果加工:生产甜糖果,或作为普通糖果的抗返砂剂。
○ 清凉饮料:低聚半乳糖甜味适中,不使人产生腻味。
○ 乳酸菌饮料:增加体内有益菌的生长,可解决便秘及乳糖不适应。
○ 保健食品 未查见相关文献资料。
○ 其他 未查见相关文献资料。
2、调查/推荐摄入量
(1)调查摄入量 未查见相关文献资料。
(2)推荐摄入量
欧盟食品科学委员会:分析了低聚半乳糖作为婴儿食品中的一种添加物后得出,其内容物达到8g/L的结合乳糖,是安全的。
FDA:低聚半乳糖在婴儿食品中达到5g/L是安全的。
中国:推荐摄入量≤15g/d[3]。
七、国际组织和各国政府评价、批准、认可情况
中国 作为新资源食品广泛应用于婴幼儿食品、乳制品、饮料、焙烤食品和糖果中。推荐摄入量≤15g/d[3]。作为营养强化剂应用与婴儿配方食品,较大婴儿配方食品和幼儿配方食品中。作为益生元物质的来源之一,该类物质在婴儿配方食品,较大婴儿配方食品和幼儿配方食品中总量不超过64.5g/kg(食品安全国家标准食品营养强化剂使用标准征求意见稿)。
美国 GRAS物质,GRN No.000236。
欧盟 可与低聚果糖混合,添加于婴儿配方奶粉和较大婴儿配方奶粉中,最大添加量为8g/L(2006/141/EC)。
澳/新 认为低聚半乳糖不是新资源食品,在奶及奶基制品中传统存在。可以在婴幼儿配方奶粉中添加低聚半乳糖,最大添加量为290mg/100kJ(standard2.9.1),在婴幼儿食品中菊粉和低聚半乳糖单独的量或总和均不应超过0.8g/100g(standard 2.9.2),在幼儿辅食中菊粉和低聚半乳糖单独的量或总和均不应超过1.6g/份(standard 2.9.3)。
八、注意事项和禁忌
不适宜人群 未查见相关文献资料。
禁忌 未查见相关文献资料。
与药物相互作用 未查见相关文献资料。
其他 动物试验发现当给予大鼠10000mg/kg时,可发生腹泻,但人群资料尚无这方面报道。
九、小结
低聚半乳糖是以牛乳中的乳糖为原料经β-半乳糖苷酶催化水解和通过转半乳糖苷的作用生成。低聚半乳糖调节肠道菌群平衡,减少龋齿发生等作用。可应用于食品中。目前日本、欧盟、美国均批准其作为食品添加剂应用于婴幼儿食品中,我国将其作为新资源食品和营养强化剂,允许使用于婴幼儿食品、乳制品、饮料、焙烤食品和糖果中。
参考文献
[1] Shoaf K, Mulvey GL, ArmstrongGD. Prebiotic galactooligo- saccharides reduce adherence of enteropathogenic Escherichia coli to tissue culture cells. Infect Immun.,2006,74: 6920-6928.
[2] 蒋世琼.乳糖的深加工与功能性低聚糖的制造.食品科技,2000,(5):36-39.
[3] 中华人民共和国卫生部2008年第20号公告.
[4] Tomoynki S, Keisuke M, Ryuichiro T. Recent progress on research and application of non-digestible galactooligo- saccharides.Int dairy J, 1999,9(1): 69-80.
[5] Moro G, Minoli I, Mosca M, et al. Dosage-related bifidogenic effects of galacto- and fructooligosaccharides in formula-fed term infants. J Pediatr Gastroenterol Nutr, 2002, 34:291-295.
[6] Osamu C. Rie T. Effect ofβ1-4 linked galactooligosaccharides stimulate calcium and magnesium absorption from the large intestine.Yakuruto Kenkyusho Kenkyu Hokokushu, 1999,19:53-59.
[7] Boehm G, Lidestri M, Casetta P, et al. Supplementation of a bovine milk formula with an oligosaccharide mixture increases counts of faecal bifidobacteria in preterm infants. Arch Dis Child Fetal Neonatal Ed, 2002, 86: 178-181.
[8] Gulewicz P, Szymaniec S, Bubak B, et al. Biological activity of alpha-galactoside preparations from Lupinus angustifolius L. and Pisum sativum L. seeds. J Agric Food Chem, 2002, 50(2): 384-389.
[9] Anthony JC, Merriman TN, Heimbachc JT. 90-Day oral (gavage) study in rats with galactooligosaccharides syrup. Food and Chemical Toxicology, 2006,44(6): 819-826.
[10] Kobayashi T, Yasutake N, Uchida K, et al. Safety of a novel galacto-oligosaccharide: genotoxicity and repeated oral dose studies. Human & Experimental Toxicology, 2009, 28:619.
[11] 李建文,王竹,杨月欣.高效离子色谱法测定糖浆中低聚半乳糖含量.卫生研究,2006,35(5):584-586.